As for the question in the title, I don't know. And I'm not even going to try to answer that question (you can read what the FDA says); however, there are two statements that every scientist can agree upon.
- Microwave radiation is non-ionizing. (Both cell phones and microwave ovens emit microwaves). That means that the energy of a single microwave is far too weak to break electrical bonds. Ionizing radiation can cause cancer by causing DNA to mutate.
- Cell phones and microwave ovens emit a lot of radiation. They both emit a lot of individual microwaves. Microwave ovens are shielded, however, and very little radiation should be able to escape. Cell phones on the other hand emit less radiation; however, since your cell phone has no idea where the nearest cell tower is, the phone emits the same radiation in all directions, including right through your head (cell phones can judge distance, but not direction).
Microwave Ovens
In the wrong hands, microwave ovens can become weapons of mass destruction (see above).
Consumer ovens typically operate at 2.45 GHz and apparently must comply with some FDA regulations (actually, they have to comply with all of section J (parts 1000-1050)). The regulations are largely boring, incomprehensible, and irrelevant to this post; however, paragraph (c)(1) addresses the issue of radiation leakage:
Power density limit. The equivalent plane-wave power density existing in the proximity of the external oven surface shall not exceed 1 milliwatt per square centimeter at any point 5 centimeters or more from the external surface of the oven, measured prior to acquisition by a purchaser, and, thereafter, 5 milliwatts per square centimeter at any such point.
(FCC Sec. 1.1310 limits the maximum permissible exposure (MPE) of non-portable devices. For the general public, the MPE for frequencies greater than 1.5 GHz is 1 mW/cm sq for 30 minutes; for occupation/controlled exposure, the MPE over the same frequency range is 5 mW/cm sq).
The microwave oven under consideration (see photo above) has outer dimensions of 56x30.5x39.5 cm. The area of a surface that surrounds every point of the oven at a distance of 5 cm is approximately 10500 cm sq. This particular oven has an IEC 60705 standard rating of 1200 W (the rating is acquired through calorimetry; for debatably interesting information about oven power output, click here or here). If the oven was unshielded, the power density at 5 cm would average to 114 mW/cm sq. I'll talk more about shielding later.
Comparing the DHHS regulation with the above calculation is a bit tricky. The regulation is specific to a particular point; it's presumable unlikely that a microwave oven will leak evenly in all directions. With that caveat, if an oven complies with DHHS regulations, it will leak no more than about 4.4% at a particular point.
Cell Phones
Cell phones operate between .85 and 1.9 GHz, depending on location (you can find your cell phone's frequency here (you can also look at this really confusing NTIA chart)). Cell phones continuously adjust and minimize RF power while operating to decrease interference at cell towers; the outputted power depends on many things including terrain and distance to the nearest tower. Phones on a GSM network (80% worldwide are) use 8 channel TDMA communication; this means that a cell phone would only transmit 1/8 of the time (all cell phone powers quoted in this bloq will be averaged over one full cycle -- to find the peak power, multiply by 8). Several studies (Sweden, US & Some World, and Italy) have measured typical transmission powers; the average US value was 86 mW, although outputs of up to 2 W with a .9 GHz phone were measured in rural areas in Sweden.
Because cell phones are portable, FCC Sec. 1.1310 does not apply. (Parenthetically, I'd say regulating portability is a practicality issue). If it did, a 86 mW phone (with frequency greater than 1.5 GHz) would need to be held 2.6 cm from your body; a 2 W, .9 GHz phone (the MPE at .9 GHz is .6 mW/cm sq) would need to be held 16 cm away! (I've calcutated these limits using the general public limits (3o minutes exposure); for occupational use (6 minutes of exposure), the distances are about half).
Fortunately, FCC Sec 2.1093 addresses portable devices. Unfortunately, they address the issue with a complicated unit, the SAR (specific absorption rate),
which for the general population is 0.08 W/kg averaged over the whole body or 1.6 W/kg over a 1 g tissue cube (in Europe, the limit is 2 W/kg averaged over 10 g of tissue). You can find your cell phones tissue rated SAR here. The SAR takes into account the electrical conductivity of tissue (which is related to how much tissue responds to radiation) and the density (which tells how much radiation the tissue can absorb). Because the conductivity is frequency dependent, a phone will have a different rate depending on its network (.9 GHz or 1.8 GHz, e.g.), which will be different than the SAR from a microwave oven (2.45 GHz).Comparison
To make a fair comparison between cell phones and microwave ovens, the SAR frequency dependence will need to be accounted for. Fortunately, the Radio Frequency Dosimetry Handbook (RFDH) has a calculation of the SAR frequency dependence in humans (the 3 different curves correspond to different human/radiation orientations -- E is the relevant curve (for other polarizations, see here)). A comparison of the calculated curve with experimental data on rat carcasses can be found here. A more recent calculation (Dimbylow) with similar results can be found here.
The table to the left summarizes the results of Dimbylow and the RFDH (the average of the two results will be used for all calculations). Values for the SAR can be found by multiplying the appropriate entry by the incident radiation intensity (e.g. for 5 mW/cm sq at 1.80 GHz, the SAR is 5*.0436 = 0.218 W/kg). In the frequency range of interest (.85 GHz to 2.45 GHz), the SAR decreases as the frequency increases (for equal intensities, more .85 GHz radiation is absorbed than 2.45 GHz).
Finally, a plot (below) of average SAR vs distance can be made (cell phones and microwave ovens don't emit radiation equally in all directions). Four curves are plotted (over two different regimes -- one for short distances, one for long distances). The blue curves are plots of microwave oven SAR assuming 1 mW/cm sq uniform leaked radiation (solid curve) and 5 mW/cm sq uniform radiation leaked (dashed curve) (these curves are upper limits assuming your device complies with the previously mentioned FDA regulations). The red curves are plots of cell phone SAR assumin 86 mW transmission power (solid curve, US Average) and 2 W transmission power (dashed curve, rural Sweden). For the red curves, I've plotted the 0.9 GHz values; the 1.8 GHz values are marginally smaller.
The top plot shows the large distance behavior or the SAR. The shape of the blue curves (microwave oven) is different from the red curves (cell phones) because I've assumed the radiation falls off according to the distance from the oven surface; I've assumed cell phone radiation falls off according to the distance from a point-like antena. From the top plot, it's clear that the long distance behavior of both types of radiation is well below the SAR limit for head exposure (or body exposure).Finally, a plot (below) of average SAR vs distance can be made (cell phones and microwave ovens don't emit radiation equally in all directions). Four curves are plotted (over two different regimes -- one for short distances, one for long distances). The blue curves are plots of microwave oven SAR assuming 1 mW/cm sq uniform leaked radiation (solid curve) and 5 mW/cm sq uniform radiation leaked (dashed curve) (these curves are upper limits assuming your device complies with the previously mentioned FDA regulations). The red curves are plots of cell phone SAR assumin 86 mW transmission power (solid curve, US Average) and 2 W transmission power (dashed curve, rural Sweden). For the red curves, I've plotted the 0.9 GHz values; the 1.8 GHz values are marginally smaller.
The bottom plot shows the short distance behavior of the SAR. In this regime, cell phone radiation dominates. In the US, the SAR from the average cell phone is below the acceptable limit of 1.6 W/kg (the distance is measured from antena to head -- the antena is on the side of the phone farthest from your head). In rural Sweden, typical phone calls are carried out very close to the 2 W/kg legal European limit (apparently in rural Sweden it's safer to just yodel (see title of blog)).
Cell Phone in Microwave Oven
Have you ever wondered what would happen if you put your cell phone inside of a microwave oven? (No, not while the oven is on.) Some time ago, I put my cell phone inside my microwave oven. It's hard to see through the wire mesh inside the oven (which is why I don't have a picture of this), but my phone still registered 1 out of 4 bars of reception. This surprised me. I then tried and succeeded in placing a call to my phone while it was in the oven. I was also able to place an already connected cell phone in the microwave and not lose the connection.
Presumably, if a microwave oven is really well shielded, a cell phone shouldn't be able to work inside of it. Since the two frequencies (2.45 GHz for the oven, 1.9 GHz for the cell phone) are very close to each other, the fraction of transmitted radiation (whether from the oven itself or a cell phone inside of an oven) should be very similar. Microwave ovens inhibit microwave radiation transmission because they're surround by a good conductor (steel). So why was I able to get reception?
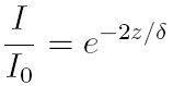
A good conductor has a shallow skin depth (a shallow skin depth permits very little radiation leakage) given by:
The fractional intensity of transmitted radiation is given by:
According to http://www.atttowers.com, I was just under a mile (5000 ft) from the nearest tower when I placed this call. If I assume that the broadcast power of my cell phone stayed the same when it was in the oven (it almost certainly increased), I can calculate how far that same call could have reached in the absence of the oven. Assuming a 1 mW/cm sq oven transmission, the call could have reached a tower nearly 8 miles away (5000 ft * sqrt(64.5)). This is a very reasonable distance (cell phones work in rural Sweden, afterall).
A cell phone will work inside of a microwave oven for two reasons:
- They operate at different frequencies
- Cell phones are designed to work under very poor conditions
Conclusion
Based on the scattered data I've found, it's apparently safe to use a cell phone in the US (assuming you believe the SAR numbers, how the limits are established, and that SAR is the relevant figure of merit). If you're still worried, a hands-free headset (not positioned on your body) should be more than sufficient.
Assuming your oven isn't too leaky, microwave oven radiation is also well below established limits. I'm not saying that you should sleep on top of your oven, but the radiation it emits (which should only come out of the window) should be fairly week at few feet from the oven.
Miscellaneous Links
Here's some of the weirder stuff I found while researching this post:
People who volunteered to be microwaved
Disturbing naval research
Cook an egg hoax
Unscientific argument that microwave ovens will kill you
Unscientific argument that microwave ovens won't kill you
Copyright © 2009 Peter Dolph





7 comments:
I love reading your stuff...but shouldn't you be writing your thesis?
Hope all's well in the Ville.
NERD!
I think you'll find that the leakage through the metal of the microwave is negligible. The leakage around the door seal would be a big issue, but they design a quarter-wave choke flange into the door - which presents a frequency-selective RF containment around the door.
See also the later posts on this thread: http://www.thenakedscientists.com/forum/index.php?topic=20690.0
As you state, as long as you're in a good-signal area for mobile reception anyway, then even if the oven presents a few 10's dB attenuation of the phone signal, there will still be enough signal getting through to make a call.
Thanks for the great info! But your conclusions are wrong. Yes a cell phone several inches away may be safer than a microwave oven, but why do you think the oven is safe? It would be safe if they used real RF mesh for the window, but as your calculations show they only have enough shielding to achieve the FCC limit, which was invented after the first microwave ovens made people sick instantly.
In fact in some directions (especially if you can see the waveguide through the window) you can get significant microwave levels 10 or 20 feet away. By significant, I mean much higher than the levels that William Bise published in 1978 as causing changes in human EEG.
Some of those same Navy guys who wrote the review you link to on behavior elsewhere dismiss Bise's results as being at levels "below background". Well the background they cite is for FM radio, which is a much lower frequency.
Also note how these Navy guys review research by Henry Lai showing effects where mice cannot learn a maze as well after exposure of only 0.6 W/kg (i.e., a typical cell phone level). They cite it, but then ignore it completely in their conclusions, with no mention of why.
I happen to be a physicist too, and I know another scientist who gets a headache instantly if he stands near a microwave oven that's running. But he's learned that there's a delay of a second or two before they actually emit anything. So he turns it on and quickly gets 10 feet away.
People who have had head injuries can have fluid cavities in the skull, and it is easy to imagine that these could give rise to resonances. Think of all the gulf war vets who have head injuries but continue to have insomnia, headaches, and other mental problems years later. This was not seen in previous wars, perhaps because we didn't have all the microwave towers everywhere.
I guess you didn't read Salford's 2003 paper, or the studies that found more headaches among people living close to cell towers. And what about the Hardell et al. brain tumor link? You're on the right path, but you've got further to go...
Very interesting research. I think you should investigate further the effect of the door seal on the microwave's leakage. I work with people who are trying to shield MRI magnet rooms from RF and from what I hear it tends to be the doors that leak the most.
Will, do you have access to a double-blind study supporting the cell-tower-headache hypothesis?
To AJ: how can you do a double blind study of cell tower exposure? But there have been a few a few striking studies. What happens when an antenna is shut down? People sleep better:
Effect of short-wave (6-22 MHz) magnetic fields on sleep quality and melatonin cycle in humans: the Schwarzenburg shut-down study, Bioelectromagnetics. 2006
Regarding headaches, this study corrected for whether the people had any fear that the tower might cause an effect:
Subjective symptoms, sleeping problems, and cognitive performance in subjects living near mobile phone base stations.
Also, see Santini et al. which says
"Comparisons of complaints frequencies (CHI-SQUARE test with Yates correction) in relation with distance from base station and sex, show significant (p < 0.05) increase as compared to people living > 300 m or not exposed to base station, till 300 m for tiredness, 200 m for headache, sleep disturbance, discomfort, etc. 100 m for irritability, depression, loss of memory, dizziness, libido decrease, etc. Women significantly more often than men (p < 0.05) complained of headache, nausea, loss of appetite, sleep disturbance, depression, discomfort and visual perturbations. This first study on symptoms experienced by people living in vicinity of base stations shows that, in view of radioprotection, minimal distance of people from cellular phone base stations should not be < 300 m."
My hearing aids scream near a leaking microwave oven. Glad I don't have a pacemaker! I'm not a physicist, just a neurophysiologist.
Post a Comment